Orbit and Cell graphs

Here are two kinds of pictures:
Closure relations of special complex nilpotent orbits
John Stembridge's squashblock graph: the vertices of a certain poset with vertices the cells for some (real) group (see John's README).

Back to the stable page atlas home page

C2
Special complex nilpotent orbits for C2
Cells for big block of split Sp(4,R)
Cells for big block of SO(3,2)
C3/B3
Special complex nilpotent orbits for C3
Cells for big block of split Sp(6,R)
Cells for big block of split SO(4,3)

F4
Special complex nilpotent orbits for F4
Cells for big block of split F4

E6
Special complex nilpotent orbits for E6
Cells for big block of split simply connected E6
Cells for big block of adjoint quaternionic E6

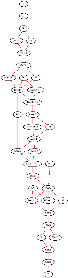
E7
Special complex nilpotent orbits for E7
Cells for big block of split simply connected E7
Cells for big block of split adjoint E7
Cells for big block of split E8

Back to the stable page atlas home page